广州医生研究登上《自然》,揭示子宫内环境对子代健康影响
妊娠是一个奇妙的过程,胎儿生长发育受到母体宫内环境和胎儿自身遗传影响,但宫内环境和遗传效应对胎儿的生长发育到底起怎样的作用,尚有许多问题等待解答。
北京时间2月1日凌晨,广州市妇女儿童医疗中心(下称“广妇儿”)科研团队在国际期刊《自然》(Nature)上发表文章,揭示了人类遗传因素和母体子宫内环境对子代健康的影响,为更好地认识母儿健康的代际传递研究提供新的范式和方法学支撑,也为研究宫内暴露(子宫内的环境、母亲传递给胎儿的营养和其他物质都属于宫内暴露)、遗传和早期生活经历之间相互作用,及其塑造长期健康的机制奠定了技术基础。

广妇儿科研团队在国际期刊《自然》(Nature)上发表文章。
为精准医疗提供个性化信息
“生命早期阶段是成人慢性病防控的重要窗口期。”广州市妇女儿童医疗中心妇女保健部主任、广州出生队列负责人邱琇表示,做好慢性病防控研究要先回答生命早期的环境不良暴露是否会导致疾病,致病因素有哪些。
每每谈起心血管疾病,大家都会讲到“三高”,这些与脂肪代谢有关。前期通过广州出生队列研究,即选定部分人群为样本,从胎儿期开始至成年,定期收集发育、成长、健康等相关医学数据,开展长期的前瞻性研究,科研团队发现新生儿的脂肪代谢与各个妊娠阶段胎儿生长状况存在关联。
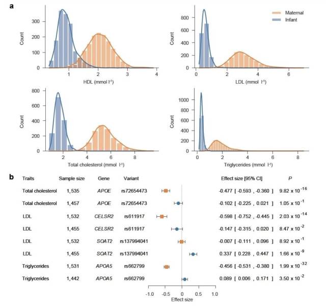
科研团队便思考:母亲怀孕时所摄入的营养素以及血脂、血糖水平是否会影响胎儿生长和出生的脂肪代谢基线?但采用传统研究方法分析,并没有发现这几个因素存在关联。
如何打开妊娠这个“黑箱子”?广州出生队列选取4053名研究对象,清晰地剥离宫内环境和遗传对胎儿生长发育的效应,明确了妊娠期暴露与胎儿生长的潜在因果关系。
邱琇表示,科研团队通过研究新发现了东亚人群所特有的调控基因,揭示了人体调控脂类代谢的基因可能在特定的年龄会发挥遗传效应。
基于这些成果,今后,儿童和成年人及早干预肥胖等慢性疾病,可能会有更加精准的方法。“更多的个性化信息有助于开展精准医疗,对于常见疾病,我们可以根据个体状况开展相应治疗。”邱琇说。

跨代孟德尔随机化分析示意图(左);影响出生体重的母体宫内环境和子代遗传效应(右)。
为预警关口前移提供可能性
不少女性在怀孕后,会出现皮肤瘙痒,在广东,有些人称之为“胎毒”,认为孕妇是“上火”了。实际上,这可能是孕妇总胆汁酸偏高,患上了胆汁酸淤积症。
广州市妇女儿童医疗中心小儿外科学术带头人、教授夏慧敏表示,在本研究中,科研团队发现了一个和胆汁酸淤积症有关的新基因突变(SLC10A1,p.Ser267Phe),它参与了整个肝脏胆汁的代谢过程,并可能引起或加重新生儿原发黄疸的程度。
另外,该研究首次发现了母亲孕期总胆汁酸与子代出生身长之间存在因果关系,母亲孕期总胆汁酸每升高1mmol/L,子代出生身长减少0.42cm。

脂代谢的年龄特异性遗传效应。
广州市妇女儿童医疗中心主任、院长周文浩解释,孕妇在妊娠期患上胆汁酸淤积症,不仅对胎儿在宫内的发育产生影响,而且会导致胎儿出生后对宫外的适应能力差,死亡风险高。
“若在早期就发现了候选基因,将其作为早期靶标进行检测,医生就能使用药物及早降低孕妇的总胆汁酸,减轻孕妇临床症状,改善孩子的生长发育。”周文浩说。
邱琇说,现在临床医生针对皮肤瘙痒的孕妇更多的是开具药物。未来医院可以考虑更好的解决办法,如针对有基因突变的孕妇,在其怀孕前就开展检测,及早进行预防或做到精准用药等。
夏慧敏介绍,12年前,广妇儿建立了广州出生队列,是目前全国入组人数最多、随访管理较为完善的出生队列。截至2023年底,已入组的家庭数超过5.8万个,生物样本库累计入库超过290万人份。
周文浩表示,未来将会继续根据广州出生队列数据,发现更多孕妇在妊娠期间和孩子在成长发育期间可能影响健康的因素。“我们要将预警关口前移,在女性孕期时通过基因检测、环境监测、代谢产物监测等,更好地保护母亲和胎儿。”
南方+记者 厉思璇
通讯员 周密 李雯
Z-Blog应用版权声明:以上内容作者已申请原创保护,未经允许不得转载,侵权必究!授权事宜、对本内容有异议或投诉,敬请联系网站管理员,我们将尽快回复您,谢谢合作!
